O
  • Home
  • Legion Officers and Committees
  • Meetings
  • Auxiliary
  • SAL Ocean County
  • Legislative
  • Scholarships

​ ​Ocean County American Legion and Legion Auxiliary
SCHOLARSHIPS

​

Arthur Lavigne Scholarship 2025 - submission deadline March 31/2026
Picture


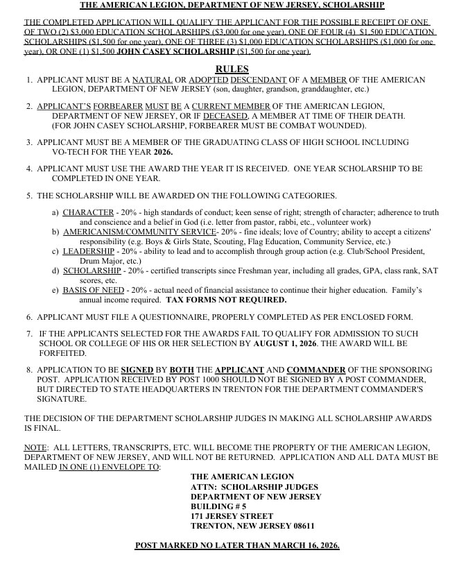
Link to the American Legion Dept of New Jersey Scholarships 2026

Picture
Picture
Picture

John Casey Scholarship for Combat Wounded 

Picture
Picture
Picture
Site powered by Weebly. Managed by Ultra Web Hosting
  • Home
  • Legion Officers and Committees
  • Meetings
  • Auxiliary
  • SAL Ocean County
  • Legislative
  • Scholarships